Філія «Іршанський гірничо-збагачувальний комбінат» Акціонерного Товариства «Об’єднана гірничо-хімічна компанія» інформує про намір провадити плановану діяльність, яка підлягає оцінці впливу на довкілля
Філія «Іршанський гірничо-збагачувальний комбінат» Акціонерного Товариства «Об’єднана гірничо-хімічна компанія» інформує про намір провадити плановану діяльність та оцінку її впливу на довкілля.
Планована діяльність, її характеристика:
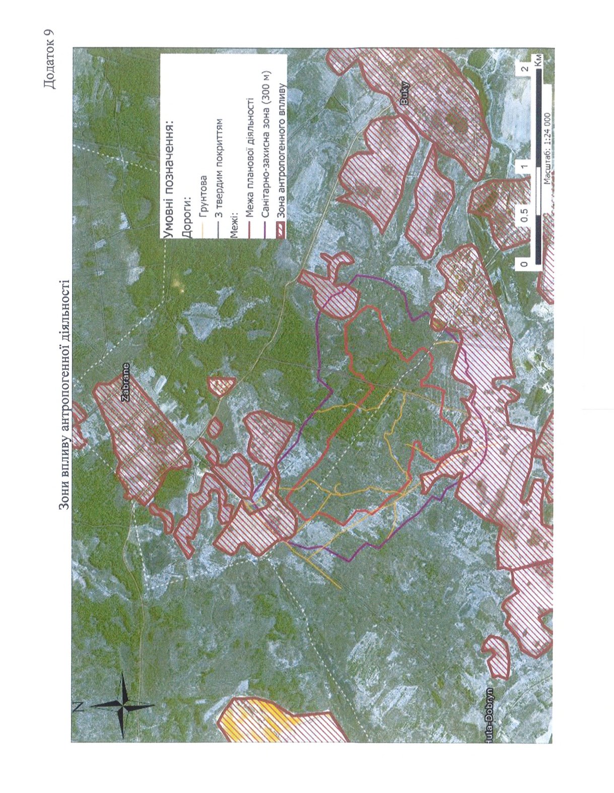
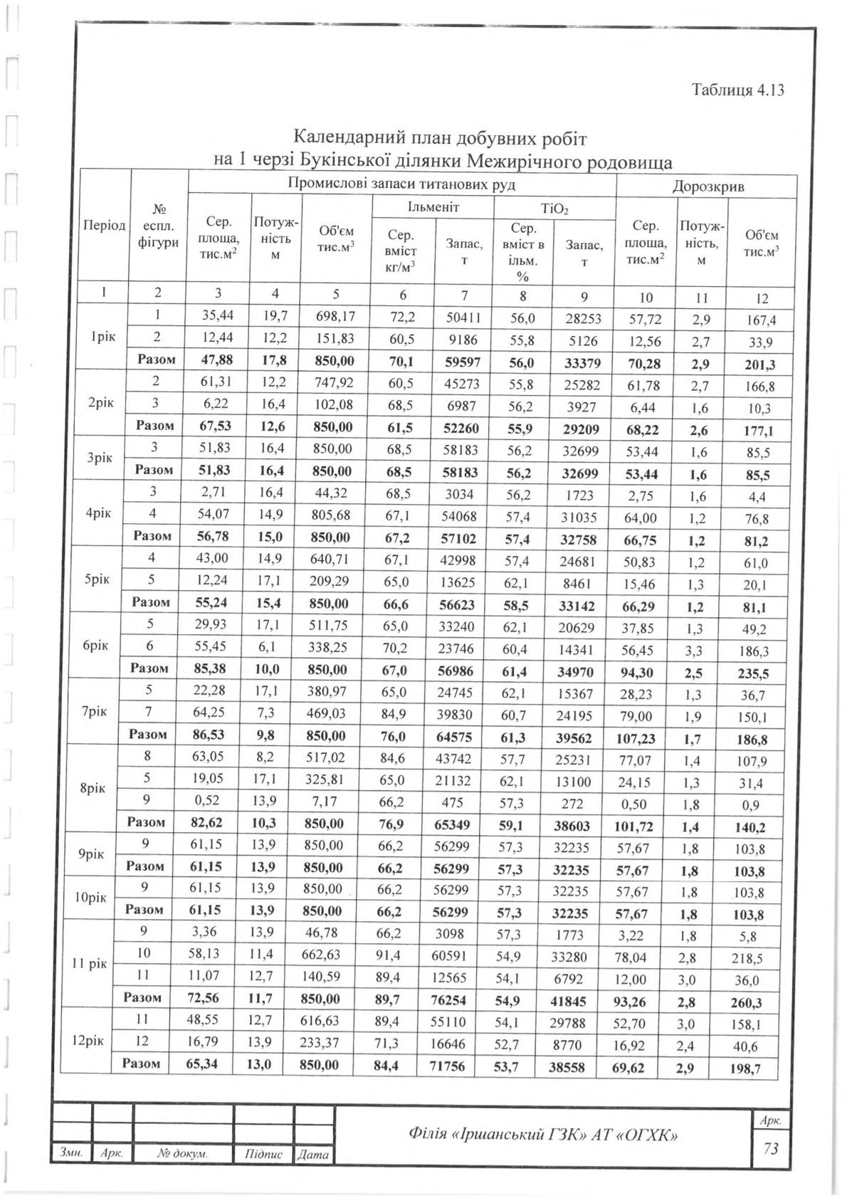
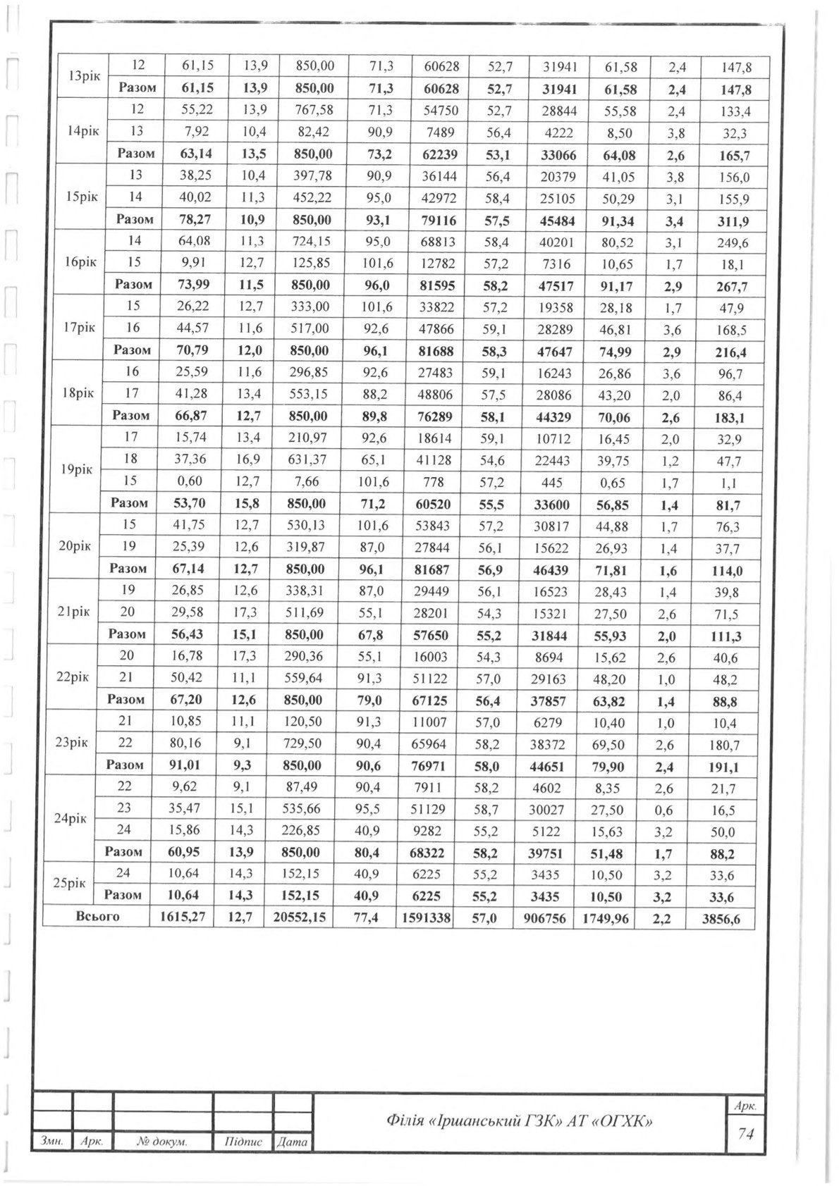
Проведення суцільних, поступових рубок на площі понад один гектар, зміною цільового призначення земель та прокладання кабелів, трубопроводів та інших комунікацій на землях водного фонду, для розробки Букінської ділянці Межирічного родовища (І-ша черга) титанових руд та подальшою рекультивацією порушених земель. (читати оголошення повністю).
Місце (місця) розміщення звіту з оцінки впливу на довкілля та іншої додаткової інформації (відмінне від приміщення, зазначеного у пункті 6 цього оголошення), а також час, з якого громадськість може ознайомитися з ними.
1. Філія «ІГЗК» АТ «ОГХК», адреса: 12110, Житомирська область, Хорошівський район, смт. Іршанськ, вул. Шевченка, 1, буд. 26. Контактний телефон: (04145) 4-54-16, 050-353-04-47, з 9.00-17.00 крім вихідних з моменту оприлюднення в реєстрі ОВД.
2. Іршанська селищна рада Коростенського району Житомирської області, адреса: 12110, Житомирська обл., Коростенський р-н, смт. Іршанськ, вул. Гулія, буд. 7. Контактний телефон: (04145) 44221, з 9.00-17.00 крім вихідних з моменту оприлюднення в реєстрі ОВД.
3. Малинська міська рада, адреса: 11601, Житомирська обл., м. Малин, пл. Соборна, 6а. Контактний телефон: 0673604912, з 9.00-17.00 крім вихідних з моменту оприлюднення в реєстрі ОВД.
Додатки до звіту

